x

Steel Tie Rod

Banner
Home > Products > Bridge Prestressing Products
Steel Tie Rod
Steel Tie Rod

Steel Tie Rod

High-Strength Bridge Steel Tie Rods | Leading Chinese Manufacturer for Global Infrastructure

As China's most experienced manufacturer of bridge steel tie rods, our products are the core structural components engineered for the world's most demanding infrastructure projects. With an unparalleled project portfolio that includes supplying more major Chinese bridge projects than any other enterprise, we bring proven reliability and scale to global engineering teams. These tension members deliver exceptional tensile strength, superior fatigue resistance, and long service life, making them the trusted choice for engineers and contractors worldwide to ensure structural safety, stability, and durability.

Product Details

Key Features and Advantages

Proven Performance from a Leading Supplier
Benefit from the expertise of China's foremost manufacturer. Our tie rods are validated by their extensive use in China's vast and complex bridge network, demonstrating their capability to perform in the most challenging real-world conditions.


Exceptional Strength and Stiffness
Manufactured from high-quality alloy steel (such as 42CrMo, 40Cr), offering yield and tensile strengths significantly higher than standard carbon steel. Capable of withstanding extreme tensile loads and dynamic stresses, ensuring structural integrity under severe conditions.


Superior Fatigue Resistance
Precision machining and heat treatment processes provide excellent fatigue performance, enabling the rods to endure millions of stress cycles. This is critical for bridges and structures subjected to dynamic loads like wind and traffic.


Precise Dimensions and Tolerances
Advanced machining technology guarantees thread accuracy and rod straightness. Ensures perfect fit-up with connectors (such as clevises, turnbuckles) for fast, secure on-site installation.


Excellent Corrosion Protection
Multiple coating options are available to meet demanding environmental requirements:

  • Hot-Dip Galvanizing: Cost-effective corrosion protection suitable for most environments.

  • Epoxy Zinc-Rich Coating: Provides superior chemical resistance and long-term durability.

  • Stainless Steel Option: 304 or 316 stainless steel material available for highly corrosive environments (e.g., coastal, industrial areas).


Full Customization Service
We customize tie rods according to your project drawings and specifications, including various diameters (M36 to M150 and above), lengths, and end connection types (such as threaded ends, clevis ends, hinge ends).


Design and Certification

Our products are designed and manufactured in strict compliance with international design and manufacturing standards, ensuring global applicability, safety, and reliability.

Compliant Design: Product design conforms to key codes including EN 1993-1-11 (European Standard for Steel Structures) and AISC 360 (American Institute of Steel Construction), ensuring system safety under various load cases.

Standard Materials: Core steel complies with international material standards such as ASTM A572/A572M (High-Strength Low-Alloy Columbium-Vanadium Structural Steel), ASTM A193/A193M (Alloy-Steel and Stainless Steel Bolting Materials), and EN 10025 (Hot rolled products of structural steels).

Precision Manufacturing: Thread processing conforms to standards like ISO 898-1 and ISO 965, ensuring connection accuracy and strength.

Quality Assurance: We operate under an ISO 9001 Quality Management System and can provide inspection reports from authoritative third-party agencies such as SGS and Bureau Veritas. All critical components undergo 100% ultrasonic testing.

 

Technical Parameters

Parameter

Details / Description

Material

High-Strength Alloy Steel (42CrMo, 40Cr, 35VB, etc.), Stainless Steel (304, 316)

Strength Grade

Up to Grade 8.8, 10.9, and higher performance grades

Design Standards

EN 1993-1-11, AISC 360, GB/T

Material Standards

ASTM A572, ASTM A193, EN 10025

Diameter Range

Φ20mm - Φ200mm or Customized

Length

Customized as per client requirements

Thread Accuracy

Complies with ISO Standard 6g/6H or higher

Corrosion Protection

Hot-Dip Galvanizing, Epoxy Coating, Dacromet, Zinc-Aluminum Alloy Coating


Machanical Properties of Steel Tie Rods

Mechanical Properties of alloy steel tie rod body

Mechanical Properties of stainless steel tie rod body


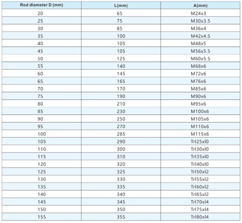
Steel Tie Rod Structure and Specification

UU type

 

Specification of UU type


OO type

Specification of OO type



I type

Specification of I type

 


OU type stainless steel tie rod

 

UU type stainless steel tie rod

 

Specification of OU type

 

Nut and Plat type steel tie rod

 

Specification of  Nut and Plate type steel tie rod


Typical Applications

Cable-Stayed Bridges - As main cables or stability ties

Arch Bridges - As tie members to balance arch thrust

Suspension Bridges - For hangers and bracing systems

Long-Span Spatial Structures - Roof supports for stadiums, airport terminals, convention centers

Industrial Platforms & Heavy Equipment - Providing tension bracing


Project for reference:


Why Choose Our Steel Tie Rods?

Unmatched Experience in China: We are the most seasoned manufacturer in China, having supplied more tie rods for domestic bridge projects than any competitor. This vast experience translates into reliable, field-tested products for your projects.

Guaranteed Quality: Every stage, from raw material to finished product, undergoes strict quality control and testing (including ultrasonic inspection, mechanical property tests).

Engineering Support: Our experienced engineering team provides technical consultation and solutions to help optimize your design.

Global Supply & Competitive Pricing: We combine the scale and cost-effectiveness of China's manufacturing with mature international logistics, offering exceptional value for projects worldwide.


Production and Inspection of steel tie rod 

Frequently Asked Questions (FAQ)

Q: Can you provide Material Certificates and third-party inspection reports?
A: Yes. We provide full Mill Test Certificates (MTC) for every batch and can arrange pre-shipment inspections by internationally recognized third parties.


Q: What is the typical delivery lead time?
A: Lead time for standard products is typically 4-6 weeks. For custom products, the time depends on quantity and specifications. We maintain clear communication to ensure on-time delivery.


Q: How do I determine the required tie rod specifications for my project?
A: Please send us your project requirements, design drawings, or technical specifications. Our technical team, backed by extensive experience from countless Chinese projects, will recommend the most suitable solution and provide calculations.


Reviews

Write a Review

Inquiry

Products Recommended

The cables for suspension bridges are primarily used in various cable structure systems, including cable nets, cable trusses, cable domes, and hybrid systems such as cable-stayed structures, string structures, cable-arch structures, and suspendomes that combine flexible cables with rigid components. They are also essential for glass curtain wall systems. These structural cables are valued for their aesthetic appeal, innovative anchorage design, and high anchoring efficiency. They contribute to creating lighter, more beautiful, and cost-effective building structures, making them particularly suitable for public venues like airports and stadiums that prioritize visual appeal.

+86 15116183980

+86 15116183980

lkvicky2003@gmail.com

+